カナダ コロナ 状況。 新型コロナウイルス関連 領事メール

【最新版】カナダのコロナウイルス関連情報まとめ(9月27日更新)

状況 カナダ コロナ

【オタワ市における状況】 (緊急事態宣言) 3月25日,ジム・ワトソン・オタワ市長は,新型コロナウイルスに伴い,オタワ市の非常事態を宣言しました。 州立公園も再開しました。 ケベック州は感染状況の報告を1週間に1回にすると6月24日に発表しましたが、29日の会見で状況報告は再び毎日行うと変更しました。

7

【12/1更新|新型コロナウイルス】カナダ留学の最新情報|留学ジャーナルのコラム

状況 カナダ コロナ

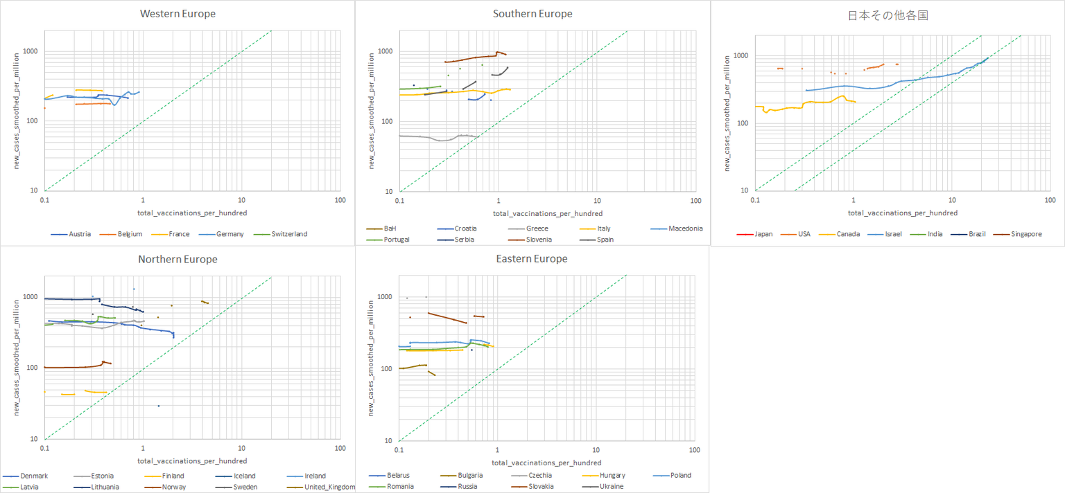
! BC:ブリティッシュコロンビア州 【2020年3月18日】非常事態宣言 state of emergency• BC州内すべての飲食店でイートイン(店内飲食)のサービスが終了します。 5月31日はデータトラブルで165人の死亡が報告されていなかったため、この日は202人の死亡報告となりました。

6

カナダのコロナウイルス感染拡大防止に伴う措置と状況【留学関連情報】

状況 カナダ コロナ

10月14日現在、バンクーバー校には、日本、韓国、ブラジル、メキシコ、EU諸国などからの約140名の生徒が在籍しています。

新型コロナウイルス関連 領事メール

状況 カナダ コロナ

・個人競技または単独競技用の運動施設 ・トリミング等の動物関係サービス、獣医 ・家事代行サービス(家政婦、清掃など) ・すべての建設工事 ・保健・医療サービス ・屋外スポーツ施設、多目的運動場 ・ドッグラン ・屋外ピクニックサイト ・公園やレクリエーションエリアのベンチや屋根付きの休憩所 (遊び場・遊具・フィットネスセンター・スイミングプ ール・水浴び場は引き続き閉鎖されてい ます) 〈 6月24日から営業再開〉 レストランやバーのパティオ営業・美容室・スイミングプール・ビーチなどが再開となります。

カナダのバンクーバーでのコロナウイルスの現状、被害について

状況 カナダ コロナ

〇海外からの旅客機の受入空港を限定する意向。 一部営業が許可されていないビジネスについてはまたはをご確認ください。

【12月1日更新】カナダの新型コロナウイルス入国規制情報・ビザニュースまとめ

状況 カナダ コロナ

海外渡航が可能となるのは、その後となりますので、まだ時間を要する可能性があります。 カナダへの渡航状況 ・2020年3月18日よりカナダ国籍者、カナダ永住権保持者以外のものには、入国制限が課されています。 以降、非常事態宣言は延長され続けています。

13

カナダ 新型コロナウイルス感染状況と拡大防止対策まとめ

状況 カナダ コロナ

(3月22日発表) 政府の発表により、 ワーホリビザ・学生ビザを持っている方は 入国できることになります。 到着直後の行動が制限されるので、ワーキングホリデー渡航のタイミングとしては良くありません。

8